数Ⅰ 2次関数 標準形の求め方(素早く頂点を求める手法の紹介)
2次関数の頂点を求めるための計算、通称「平方完成」
この計算方法がきちんと理解でき、スピーディに計算できるか、
この単元の一番最初の壁かと思います。
今回は、この平方完成の方法について、
手数が少なくスピーディーに行う方法を紹介します。
センター試験の最初の問題でもよく出題される頂点を求める問題。
手際よく行いたいですね。
その前に、まずは2次関数の表し方から。
2次関数の標準形

頂点の座標を読み取ること自体は、少し練習すればコツがつかめるかと。
あとは、軸の方程式と頂点の座標は、
平行移動の感覚から的確にとらえられるようにしておきましょう。
基本形→標準形へ(平方完成)
さて、ここからが本番です。
次のような式のとき、頂点の座標を読み取ることができません。

これを読み取れる形に変形する変形法を紹介します。
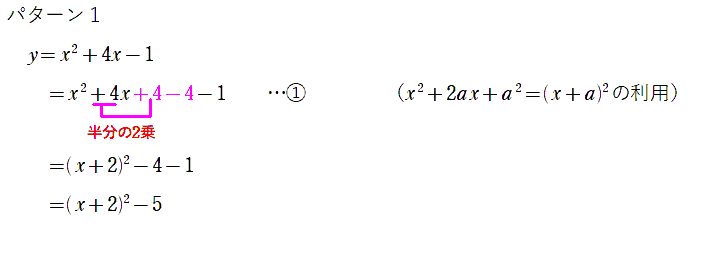
まずは定番のパターンから。

因数分解の公式 x^2+2ax+a^2=(x+a)^2 を利用することを目的として、
xの項の半分の2乗の数をあえて足し、つり合いをとらせるために引いています。
まずは、この式の流れから式変形方法を理解してほしいところです。
しかし、、、
慣れてくると、少しでも早く式変形をしたい!と思うのが人情(笑)
なので、次の方法を使ってはいかがでしょうか。

このパターン2では、パターン1での①の部分を省略して、
元の式のxの項の半分の数をかき、その2乗を一気に引いたと考えます。
1行省いているだけでも、ずいぶんスマートに見えますよね。
実際に計算練習しても、スピードの大幅アップが見込めます。
複雑になった場合にも…
次の例2の問題も追ってみてください。

複雑な平方完成の問題ではありますが、
式そのものはわずか数行で完成します。
頂点もすぐに読み取ることができますよね。
こちらの流れで素早く計算できることをお勧めします。
最後に
今回は、平方完成の計算方法について、簡略化する方法を紹介しました。
実際に教える際には、まずはパターン1で仕組みについて理解をしてもらい、
仕組みがある程度理解できたところで、一気にパターン2に切り替えればと思います。
時間が短縮できるというのは生徒にとっては大きなメリット。
その驚きと、「使ってみよう」という意識を最大限に高めるための、
そこまでの流れを意識したいところです。
2次関数の分野で、最初に慣れが必要な部分。
あとは練習問題を多くこなし、素早く頂点の座標を読み取ることができるようになりましょう。
【高校1年生におススメの自習本】
↓ 亀きち特におすすめの1冊です。
中学校の復習からタイトルの通り優しく丁寧に解説しています。
こちらは第一人者の馬場敬之さんの解説本
・ハイレベル&教員の方に目にしていただきたい体系本
亀きちのブログが、電子書籍に。いつでもどこでも数学を楽しく!第1~3巻 絶賛発売中!
公式LINE開設!
旬の情報や、勉強法、授業で使えるプチネタなどタイムリーにお届け!
ご登録お待ちしています! (^^♪
リアルタイムでブログ記事を受け取りたい方!読者登録はこちらから
ご質問・ご感想・ご要望等お気軽にお問い合わせください。
また、「気になる」「もう一度読み返したい」記事には
↓↓「ブックマーク」もどしどしお願いします


